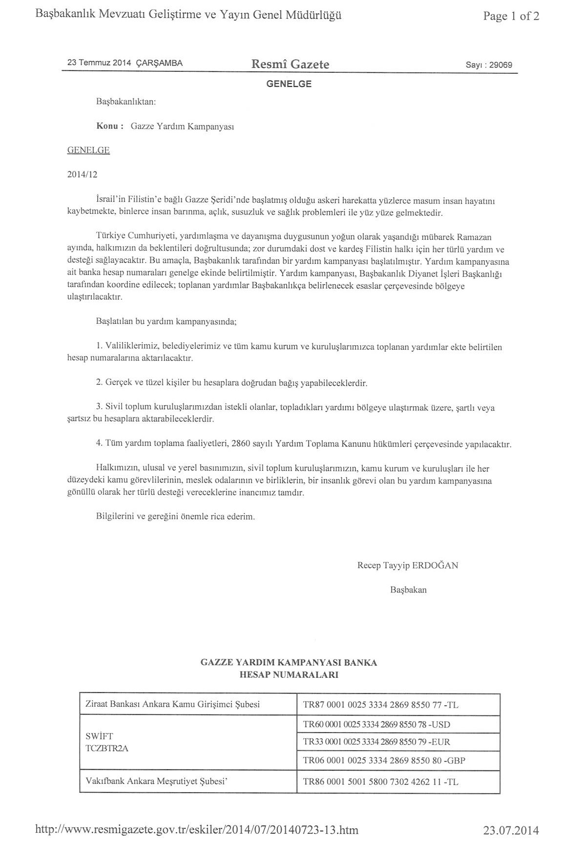
İsrail'in Gazze Şeridi'ne yönelik saldırıları nedeniyle zor durumda bulunan Gazze halkına insani yardım için başlatılan yardım kampanyasına ilişkin olarak 23 Temmuz 2014 tarihli ve 29069 sayılı Resmi Gazete'de yayımlanan 2014/12 sayılı Başbakanlık Genelgesi aşağıda sunulmuştur.
Ulanbator Büyükelçiliği
25.07.2014
Başak Genç Yüksel
Büyükelçi
Bağlı Temsilcilikler
Pazartesi - Cuma
09:30 - 12:30 / 14:00 - 18:00
Tatil Günleri 2026
| 1.01.2026 | 1.01.2026 | Yeni Yıl |
| 18.02.2026 | 20.02.2026 | Beyaz Ay Bayramı |
| 8.03.2026 | 8.03.2026 | Uluslararası Kadınlar Günü |
| 31.05.2026 | 31.05.2026 | Buda'nın Doğum Günü |
| 1.06.2026 | 1.06.2026 | Anne ve Çocuk Bayramı |
| 10.07.2026 | 15.07.2026 | Milli Bayram Naadam |
| 10.11.2026 | 10.11.2026 | Cengizhan'ın Doğum Günü |
| 26.11.2026 | 26.11.2026 | Cumhuriyet Günü |
| 29.12.2026 | 29.12.2026 | Ulusal Özgürlük ve Bağımsızlık Günü |
+ 90 312 292 29 29
TÜRKİYE'DE YATIRIM İMKANLARI